자 앞에서 배웠듯
x(t) = Acos(ωt + φ)
x[n] = x(nTs)
= Acos(ωnTs+φ)
= Acos(ŵn + φ)
이렇게 변형 할 수 있다.

그렇다면 f/fs을 f햇으로 정의를 해주면 위와 같은 범위를 얻을 수 있다.
즉, 샘플링 된 신호의 주파수 도메인에서의 주기는 2π를 넘지 않는 것을 볼 수 있다.

그래서 CTFT 와 DTFT를 비교해보면 이런식입니다.
DTFT에서의 x[n]을 구할 때 적분 범위를 보면 -π ~ π 까지인 이유는 위에서 설명해드렸습니다.
또한 주파수 도메인으로 바꿀때 시그마를 취하고 있는데 이유는 이산신호들의 합이기 때문에 당연히 적분이 아닌 시그마를 써주고 있습니다.

근데 여기서 이제 우리가 샘플링 주파수로 나누어 주면 f^ 도메인으로 바꾸어주면 주기가 1으로 반복되어지게 할 수 있습니다.
그게 바로 DTFT입니다.
자 이제 DTFT의 특성에 대해서 알아보겠습니다.
앞에 CTFT와 DTFT 포스트를 잘 읽고 이해를 하였다면 특성들도 이해하기 쉽습니다.
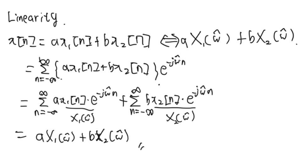
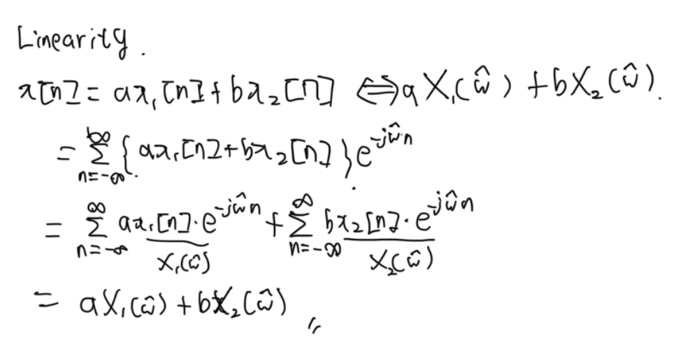
Linearity(선형성)

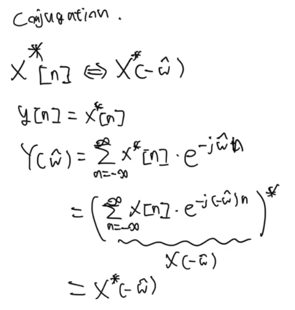
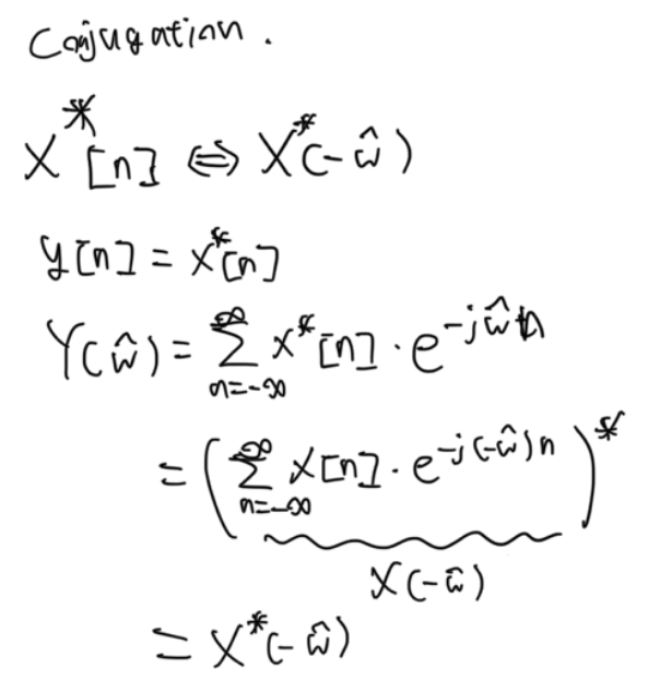
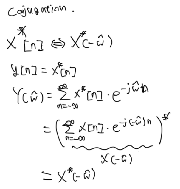
conjugation

conjugate Symmetry

Time Delay

time delay는 말 그대로 시간이 딜레이된다. x[n]이 먼저 값이 나오고 그 후에 좀 딜레이 되어서 y[n]이 시작된다. 그렇다면 주파수 도메인에서는 어떤 일이 일어날까? 바로 phase shift 즉, 위상만 변한다. 크기는 같다!
식에서 볼 수 있듯이 e-jwnd는 크기는 1이고 -wnd 만큼 각도를 움직이는 회전함수이기 때문이다. 이 부분은 오일러 공식을 생각하면 쉽게 알 수 있다. X(w) 에 크기가 1인 회전함수를 곱했기 때문에 크기는 그대로 유지, 위상만 변하는 것을 볼 수 있다.
Time Reveral

Frequency shift

Convolution

가장 중요한 특성이다. 한쪽 도메인에서의 convolution은 다른 한쪽에서는 곱으로 나타내어진다.
impulse

unit impulse 라는 것은 0일 때 1이고 나머지는 0인 것을 말합니다.
이럴때 주파수 도메인은 전부 1로 나오는데 이 말은 즉슨, 우리가 뾰족한 신호를 만드려고하면 굉장히 많은 주파수가 필요하다라고 이해할 수 있습니다.
shift 시킨다면 크기는 1이고 위상만 변화한 것을 볼 수 있습니다.
Right-Sided Exponential

L-point Rectangular Pulse

Sinc Function

이건 앞의 Reconstruction 할 때도 보았었습니다.
직사각형의 모양을 FT or Inverse FT를 하면 반대 도메인에서는 sinc function 형태로 나오게 됩니다.
다음글 DFT(Discrete Fourier Transform) ->https://hagisilecoding.tistory.com/95
'CS > 영상처리' 카테고리의 다른 글
| [영상처리] 2-D DFT for Digital Images [컴공과고씨] (1) | 2022.06.01 |
|---|---|
| [푸리에 변환 이해하기 - 9] Discrete Fourier Transform (DFT) [컴공과고씨] (0) | 2022.05.30 |
| [푸리에 변환 이해하기 - 7] Sampling & Reconstruction & shannon Sampling Theorem [컴공과고씨] (0) | 2022.05.28 |
| [푸리에 변환 이해하기 - 6] Continuous Fourier Transform (CTFT) [컴공과고씨] (1) | 2022.05.28 |
| [푸리에 변환 이해하기 - 5] Continuous-Time Fourier Series(CTFS 푸리에 급수) (0) | 2022.05.26 |