일단 복소지수를 알아보기 전에 복소수라는 개념을 알아야 합니다. 그렇다면 복소평면을 알아보기 전에 수에 특징에 대해서 알고 가면 쉽게 이해할 수 있습니다.
수는 크기와 방향을 갖습니다.
여기서 방향이라는 것을 나타내기 위해 우리는 익숙한 음수를 사용합니다.
1×3×3 은 무엇을 뜻 할까?
1라는 위치에서 3배한 위치로 다시 그 위치에서 3배한 위치로 이동하라는 뜻이다.

그렇다면 1×(-3)×(-3) 는 무엇을 뜻 할까?
음수는 반대 방향을 말합니다.
1×(-1)×3×(-1)×3 으로 보면
1의 위치에서 반대 방향 위치로 이동 후 3배 이동 후 다시 반대 방향 위치로 간 후 다시 3배 이동 이라고 볼 수 있습니다.

자 그렇다면 x² = -1 이라는 것은 어떤 1을 두 번 변환시켜서 -1 위치로 이동시키려면 어떻게 해야 할까요?
바로 회전입니다. 1의 위치에서 90도 90도 두 번 회전 시켜준다면 -1의 위치로 갈 수 있겠죠?

이게 바로 복소수가 존재하는 이유 입니다. 즉, 수를 2차원에 존재한다고 생각하고 수가 회전한다고 생각하면 복소평면을 이해하면 쉽습니다.
그래서 i를 복소수 즉, 90도 회전 변환을 의미합니다.
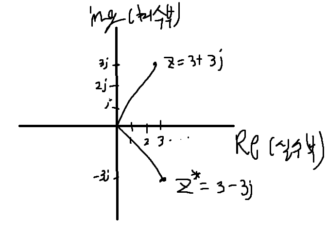
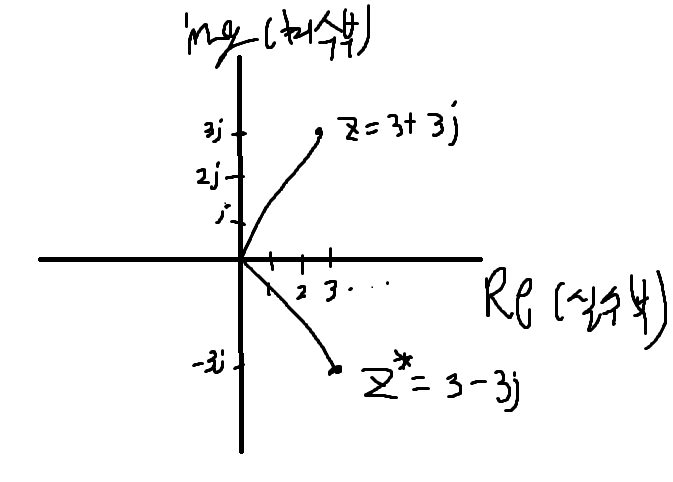
복소평면

Z*은 Z에서 허수부만 음수를 시킨 것으로 크기는 같고 위상만 반대인 것을 뜻합니다.
Real part(실수부) = (Z+Z*)/2
Imaginary part(허수부) = (Z-Z*)/2 으로 나타낼 수 있습니다.
이전글 (sinusoid 정현파) -> https://hagisilecoding.tistory.com/87
다음글 (오일러 공식) -> https://hagisilecoding.tistory.com/89
'CS > 영상처리' 카테고리의 다른 글
| [푸리에 변환 이해하기 - 4] frequency spectrum (주파수 스펙트럼) (1) | 2022.05.25 |
|---|---|
| [푸리에 변환 이해하기 - 3] Euler's Identity (오일러 공식) (0) | 2022.05.25 |
| [푸리에 변환 이해하기 - 1] Sinusoids (정현파) (0) | 2022.05.25 |
| [영상처리] 템플릿 매칭 (Template Matching(block matching)), 움직임 벡터, Motion Compensation [컴공과고씨] (0) | 2022.04.24 |
| [영상처리] Thresholding - Global Thresholding, Otsu's Method [컴공과고씨] (0) | 2022.04.18 |