CS/영상처리
[영상처리] LTI 시스템 & Convolution [컴공과고씨]
시간빌게이츠
2022. 3. 24. 22:02
반응형
convolution을 이해하기 위해서는 앞 포스트 내용을 이해하고 오는 것이 좋다.
LTI 시스템이 중요한 이유는 LTI 시스템을 만족하면 Convolution Sum으로 나타낼 수 있다.
impulse response를 나타내면

이것이 LTI 시스템을 만족하게 되면

이런식으로 변한다 이 식의 의미는 하나의 입력 가지고 모든 출력을 알 수 있다는 뜻이다.
그래서 LTI시스템이 중요한 것이다. 우리가 모든 입력을 넣어보지 않아도 하나의 입력으로 모든 출력을 알 수 있기 때문이다.
그래서 LTI 시스템은 convolution sum(*)으로 표현 될 수 있다.

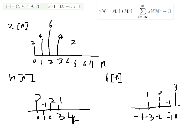
Computing Convolution 예시

h[n]에서 h[-n] 즉, 원점 기준으로 대칭이동해주는 것이 포인트이다.
y[0] = h[-n]을 x[n]에 곂쳤을 때 곂치는 것을 곱해주고 더해주면된다. 즉, 3*2 = 6
y[1] = h[-n]을 오른쪽으로 한칸 shift 시켜주고 x[n]과 곂치는 것을 곱해주고 더해준다. 즉, 3*4 +2*-1 = 10
이런 식으로 채워 나가주면된다.

이런식의 모양이 나올것이다.
Convolution 은 결합법칙, 교환법칙, 분배법칙이 성립한다.
또한 identity or delay 성립 한다.

마지막으로 Cascading 도 성립.

다음 포스트에는 Spatial Domain Filtering 공간 도메인 필터링에 대해서 알아보겠다.
반응형